23 Things Economic Developers Need to Know This Week
The stories Dane thinks you need to see. April 3, 2025 edition.
Welcome to this week's issue of What Economic Developers Need to Know This Week, where we explore the evolving dynamics of our economy.
This week we have 23 tools, stories, graphics, charts and videos that I think you'll find informative, useful, inspiring, and perhaps even humorous. Some are economic development related directly, and some only indirectly. 🤔
If you're wondering what to do with the info in this newsletter, send something to your board members. It will make you look good!
Today's email is brought to you by Resource Development Group
Founded in 1995, RDG offers customized economic development fundraising solutions exclusively for Chambers of Commerce and Economic Development Organizations. That’s their niche. That’s their specialty.
Their highly experienced team has raised over $2 billion -- yes, that’s $2 billion with a “B” -- for communities of all sizes and organizations just like yours.
Every community is unique. Tulsa, OK, is not Maury County, TN. Atlanta, GA is not Detroit, MI. Chattanooga, TN is not Charlottesville, VA. Don’t use another community’s fundraising playbook and expect the same results!
RDG's experts excel in providing customized economic development fundraising solutions for every situation. So whether you’re a single county EDO ready to kick off your first fundraising campaign or a large regional organization on your third funding cycle, they have the team and experience to get you the results you’re looking for.
1) Trump's "Liberation Day" tariff's were announced yesterday.
The new US tariffs introduce a universal 10% duty on all imports, effective April 5, 2025, with higher "reciprocal" tariffs targeting specific countries starting April 9, 2025. Asia and Europe were hit the hardest


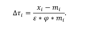
2) Here's how the reciprocal tariffs were calculated:

3) Where did Trump get his tariff data from?
4) Economic Development and Developers in the News # 189 - Econ dev news from 46 economic development executives and organizations in 22 states.
5) Podcast # 167: Digital Marketing Strategies for Small EDOs with Alissa Sklar - Making Your Website Work When You're Wearing All the Hats
6) 21 Things Economic Developers Need to Know This Week - The stories Dane thinks you need to see. March 27, 2025 edition.

7) Announcing Sitehunt's New Automated 'GIS to Data Reports': Sitehunt’s new system automatically generates five comprehensive property reports instantly: soil analysis, slope analysis, property frontage, broadband services, and transfer taxes.
8) Baby boomers bought more homes than millennials did last year:

9) America’s brewery count dropped for the first time since 2005 last year:

10) $36 trillion is a number that's hard to conceptualize. However, Uncle Sam owes about $106,000 for every single person in the United States:

11) America is eating less ice cream:

12) America's cities are growing again:

13) Job openings edged lower in February:

14) Layoffs returned to their pre-COVID range:

15) The index of job openings from Indeed continued to trend lower in March:

16) Factories are reducing staff:

17) Inventories rose last month:

18) Cost pressures intensified more than expected:

19) Economists have lowered their 2025 US growth forecast:

20) Economists once again increased their estimates for inflation this year:

